a)\(\frac{8}{3}J\) b)\(\frac{19}{5}J\) c)\(\frac{5}{19}J\)a)\(\frac{3}{8}J\)[2008]
2)m এবং 4mভর বিশিষ্ট দুটি বস্তুকণার গতিশক্তির অনুপাত 2:1 হলে তাদের রৈখিক ভরবেগের অনুপাত হবে-
a)\(\frac{1}{\sqrt{2}}\) b)\(\frac{1}{2}\) c)\(\frac{1}{4}\) d)\(\frac{1}{16}\)[2009]
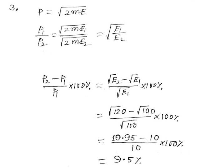
3) একটি বস্তুর গতিশক্তির পরিবর্তন 20% হলে ভরবেগের পরিবর্তন হবে -
a)12% b)24% c)9.5% d)10.5% [2009]
4)Kগতিশক্তি বিশিষ্ট একটি কণাকে অনুভূমিকের সঙ্গে 60 ডিগ্রি কোণে নিক্ষেপ করা হয়েছে। গতিপথের সর্বোচ্চ বিন্দুতে এর গতিশক্তি হবে-
a)K b)0 c)K/4 d)K/2 [2009]
5) যদি ভরবেগ 20% বৃদ্ধি করা হয় তাহলে গতিশক্তি বৃদ্ধি হবে -
a)48% b)44% c)40% d)36% [2010]
6)এক মিটার উচ্চতা বিশিষ্ট একটি ঘনকাকার পাত্র জল ভর্তি আছে। পাত্রটি কে পাম্পের সাহায্যে খালি করতে কত কাজ করতে হবে(g=10m/s2)
a)1250J b)5000J c)1000J d)2500J. [2011]
7)একটি 6কেজি ভর সম্পূর্ণ বস্তুতে একটি বল প্রয়োগ করার ফলে বস্তুটির সরন যদি x=t2/4metre হয়, যেখানে সময় t secondএ প্রকাশ করা হয় তবে 2 সেকেন্ডে বল কর্তৃক কৃতকার্য হবে -
a)12j b)9J c)6J d)3J [2011]
8)একটি স্প্রিং এর দৈর্ঘ্য10 সেন্টিমিটার বৃদ্ধি করলে তার মধ্যে সঞ্চিত স্থিতিশক্তি হয় E স্প্রিংটিকে টেনে দৈর্ঘ্য আরও 10সেন্টিমিটার বাড়ালে স্প্রিং এর সঞ্চিত স্থিতিশক্তি হবে
a)2E b)4E c)6E d)10E. [2012]
9)একটি বস্তুকণাকে স্থিরমানের যান্ত্রিক ক্ষমতা সরবরাহ করা হচ্ছে।এর ফলে নিচের কোনভৌতরাশিটি ধ্রুবক হবে -
a) দ্রুতি b)ত্বরণ পরিবর্তনের হার c) গতিশক্তি d)গতিশক্তি পরিবর্তনের হার ।
10)একটি স্প্রিং এর দৈর্ঘ্য 1mm বাড়াতে কাজ করতে হয় 10J। একে আরো1mm বাড়াতে গেলে কাজ করতে হবে-
a)30J b)40J c)10J d)20J. [2016]
11)300 m/sবেগে গতিশীল\(4.2\times{10^{-2}}\)kg ভরের একটি বুলেট ,বুলেটের ভরের 9 গুন ভরশিষ্ট একটি ব্লকে গেঁথে গেল।ব্লকটি যদি ঘর্ষণহীনভাবে অবাধে গতিশীল হতে সক্ষম হয় ,প্রাক্রিয়াটিতে উৎপন্ন তাপের পরিমান হবে প্রায় -
a)45cal b)405 cal c)450 cal d)1701 cal. [2017]
12)একটি ছোট ইস্পাতের বল অনুভূমিকভাবে রাখা একটি ইস্পাতের পাতের ওপর লাফাচ্ছে। প্রতিটি লাফে প্লেট স্পর্শ করার মুহূর্তে বলটির দ্রুতি e (স্থিতিস্থাপক গুণাঙ্ক ) গুন্ হ্রাস পায়। অর্থাৎ V upward= e.V dowanward শুরুতে বলটিকে যদি 0.4m উচ্চতা থেকে ফেলা হয় এবং10s পর যদি বলটির লাফানো থেমে যায় ,তাহলে e এর মান
a)\(\sqrt{\frac{2}{7}}\) b)\(\frac{3}{4}\) c)\(\frac{13}{18}\) d)\(\frac{17}{18}\)

[2018]
13)স্থির ক্ষমতার একটি ইঞ্জিনের ক্রিয়ায় কোনো একটি বস্তু স্থির অবস্থা থেকে চলা শুরু করে এবং সরলরেখায় গতিশীল হয়। সময় t এর অপেক্ষক হিসাবে সরন s হল
a)\(s=a+bt^2\)[a,b const] b)\(s=bt^2\)[b=const] c)\(s=at^{\frac{3}{2}}\)[a const] d)s=at [a const]

[2019]
14)একটি টেনিস বল মেঝের তলের লম্ব সাপেক্ষে q কোনে V বেগে মেঝেটিকে আঘাত করে। যদি সংঘাত টি অস্থিতিস্থাপক এবং সংঘাতগুণাঙ্ক e হয় তাহলে প্রতিফলন কোন কত হবে?
a)\(tan^{-1}\frac{tan\theta}{\epsilon}\)
b)\(sin^{-1}\frac{sin\theta}{\epsilon}\)
c)\(\theta \epsilon\)
d)\(\theta\frac{2\epsilon}{\epsilon+1}\)


[2020]
15)একটি মসৃন টেবিলের উপর m ভরের একটি ব্লক V বেগে অপর একটি m ভরের স্থির ব্লকের দিকে ধাবমান।স্থির ব্যক্তির সঙ্গে k স্প্রিং ধ্রুবক বিশিষ্ট একটি স্প্রিং আটকানো আছে (চিত্রে প্রদর্শিত )।স্প্রিংটির সংকোচনের সর্বোচ্চ পরিমান -
<p>a)\(\sqrt{\frac{m}{k}}V\)</p>
<p>b
)\(\sqrt{\frac{m}{2k}}V\)</p><p>c)\(\sqrt{\frac{k}{m}}V\)</p>
<p>d)\(\sqrt{\frac{k}{2m}}V\)</p>
[2021]
16) x অক্ষ বরাবর গতিশীল একটি কণার অবস্থান (ক্x ) এর সঙ্গে গতিশক্তির \(E_ k \) পরিবর্তন চিত্রে দেখানো হয়েছে যখন x =10 মিটার তখন কণাটির উপর ক্রিয়াশীল বল হবে -
a)\(5\hat{i}N\) b) \(0N \)c) \(97.5\hat{i}\) d)\(-5\hat{i}\) N [2022]
17)0.4 কেজি ভরের ও 4 মিটার দৈর্ঘ্যের একটি দাড়িকে একটি ঘর্ষণবিহীন টেবিলের ওপর এমন ভাবে রাখা আছে যে দড়ির 0.6 মিটার অংশ টেবিলের বাইরে ঝুলছে। দড়িকে টেবিলের উপর টেনে তুলতে কত কার্য করতে হবে ?[ধরে নাও \(g =10m.s^{-2}\)]
a)0.36J b)0.24J c)0.12J d)0.18J [2023]
18)একটি মসৃন অনুভূমি তলের ওপর n সংখ্যক স্থিতিস্থাপক বল রাখা হলো বল গুলির ভর যথাক্রমে m,\(\frac{m}{2}\),\(\frac{m}{2^2}\) .......\(\frac{m}{2^{n-1}}\)
প্রথম বলটি যদি দ্বিতীয় বলকে \(V_0\) বেগে আঘাত করে তাহলে তিন তম বলের বেগ হবে-a)\(\frac{4}{3}V_0\)
b)\((\frac{4}{3})^{n}V_0\)
c)\((\frac{4}{3})^{n-1}V_0\)
d)\(V_0\)
[2023]
ANSWER
1A 2A 3C 4C 5B 6B 7D 8B 9D 10A 11B 12D 13C 14A 15B 16D 17C.
সমাধান
👉

Q NO:-2
৯.স্থির মানের যান্ত্রিক ক্ষমতা সরবরাহ করা হচ্ছে অর্থাৎ কার্য করার হার নির্দিষ্ট। কার্য -শক্তি উপপাদ্য অনুসারে কার্য গতিশক্তির পরিবর্তন ঘটায়। ফলে গতিশক্তি পরিবর্তনের হার ধ্রুবক হবে।
১০.এটির সমাধান প্রশ্ন নঃ ৮ এর অনুরূপে হবে। তবে এক্ষেত্রে পরের 10 সেমি সরনের জন্য কার্য=40J-10J=30J
0 Comments
একটি মন্তব্য পোস্ট করুন